De Visuele Associatietest (VAT) als instrument voor de ouderenpsycholoog
DOI:
https://doi.org/10.1007/s12439-017-0231-7Trefwoorden:
dementie, episodisch geheugen, neurocognitieve stoornis, psychogeriatrische dagbehandeling, Visuele Associatietest, voorspellende waardeSamenvatting
De Visuele Associatietest is een geheugentaak die bestaat uit zes combinaties van twee met elkaar verbonden afbeeldingen.
Om te testen of de aangeboden associaties zijn onthouden, wordt het ene deel van de afbeelding als cue getoond met de
vraag om het andere deel van de afbeelding (doel) aan te duiden. De VAT is voorgelegd aan 174 achtereenvolgende
deelnemers aan psychogeriatrische dagbehandeling met een uitgebreide of beperkte neurocognitieve stoornis. Op basis van
eerder gepubliceerde gegevens van ouderen zonder cognitieve stoornis kon worden vastgesteld dat 69 % van de deelnemers
op de VAT een beperking vertoonde (somscores over twee trials tussen 0 en 8), 14 % een lichte beperking (9–10) en 17 %
geen beperking (11–12).
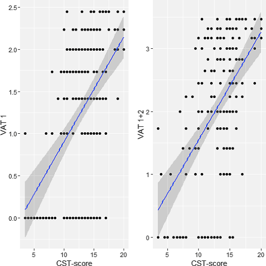
VAT-scores correleerden 0,53 met de resultaten op de Cognitieve Screeningtest (CSt), die vraagt naar episodische en
semantische geheugenkennis. Tests voor uitvoerende mentale controle (Expanded Mental Control Test, Categoriegebonden
woordproductie, Kloktekening) hadden geen significante toegevoegde waarde voor de verklaring van variantie in VAT-scores.
Vijfenvijftig deelnemers (31,6 %) ondervonden problemen bij het benoemen of identificeren van een of meer cue- of
doelafbeeldingen. Zo nodig bood de onderzoeker hulp met de juiste aanduiding. Een aanvankelijk probleem met de
identificatie van cue-afbeeldingen ging gepaard met lagere VAT-scores, maar dat gold niet voor doelafbeeldingen.
Hiërarchische multiple regressieanalyse liet zien dat een lineair model de relatie tussen CSt-scores en VAT-scores optimaal
voorspelde in vergelijking met een kromlijnig (kwadratisch) model. Daarmee werd aangetoond dat VAT-scores zonder bodemof
plafondeffect discrimineren tussen scores in het lage en hoge bereik van de CSt. Een ander voordeel is dat de VAT een
aantrekkelijke presentatie combineert met een vorm van incidenteel leren en geleide herinnering van de gegeven associaties.
Voor psychologen in de klinische praktijk van de ouderenzorg voegen we tabellen toe waaruit voor enkele leeftijdspecifieke
grensscores en diverse beginwaarschijnlijkheden van dementie de voorspellende waarde is af te lezen voor de aanwezigheid,
respectievelijk afwezigheid van een uitgebreide neurocognitieve stoornis (dementie).
